Теория:
Пусть переменная принимает ряд значений, которые приближаются к некоторому постоянному числу.
Так что разность между нею и указанным постоянным, начиная с некоторого значения, может быть сделана и остается меньше любого как угодно малого наперед заданного числа.
В таком случае постоянное число называется пределом переменной.
Говорят, что последняя стремится к этому постоянному как к пределу.
Свойства пределов переменных
Переменная 0,3, 0,33, 0,333 . . . , увеличение которой при переходе от предыдущего значения к последующему составляет 1/10 предыдущего приращения, приближается к 1/3 как к пределу.
0,3 отличается от 1/3 меньше чем на 1/10.
0,33 отличается от 1/3 меньше чем на 1/100.
0,333 отличается от 1/3 меньше чем на 1/1000
Взяв достаточное число десятичных знаков, можно сделать разность между переменной и 1/3 меньше какого угодно малого числа.
Это значит, что разность приближается к пределу нуль, т. е. является величиной бесконечно малой.
Переменная величина
Переменная величина может принимать ряд значений, как например 6,6, 6,66, 6,666 и т. д., приближающихся к некоторому числу, которое не является ее пределом.
В данном случае можно сказать, что значение переменной приближается к 7.
Последнее число однако не является пределом этой переменной, так как невозможно сделать разность между ней и 7 меньше любого малого числа.
Указанная разность всегда остается большей чем 1/3 независимо от взятого числа десятичных знаков. Предел рассматриваемого переменного равен 62/3.
Переменная может приближаться к пределу и всегда оставаться больше него или всегда оставаться меньше него, или же быть то меньше, то больше предела.
Во всех этих случаях важно только то, что разность между переменной и ее пределом становится и остается по абсолютной величине меньше любого, как угодно малого, заранее заданного числа.
Переменная величина может изменяться так, что, начиная с некоторого значения, она остается по абсолютной величине все время больше или все время меньше наперед заданного числа.
Если она остается больше любой заданной величины, то говорят, что она обращается в бесконечность или возрастает неограниченно.
То обстоятельство, что переменная х возрастает неограниченно и обращается в бесконечность, обозначается знаком:
х → ∞
Если переменная остается, по абсолютной величине меньше любого наперед заданного числа, то говорят, что она приближается к пределу нуль, и называют ее бесконечно малой.
Это изображаемся знаком х → 0.

Если постоянное конечное число разделить на бесконечно малую, то частное обращается в бесконечность.
Действительно, если числитель дроби a/x постоянная, а знаменатель уменьшается так, что делается по абсолютной величине меньше любого заранее заданного числа, то частное возрастает и может достичь сколь угодно больших значений.
Если разделить постоянную конечную величину на переменную, которая безгранично возрастает, то частное частное будет числом бесконечно малым.
В самом деле, если числитель дроби a/x есть величина постоянная, а значит стремиться к бесконечности, то частное уменьшается и приближается в пределе к нулю.
Некоторые определения
- Переменная не может приближаться к двум неравным пределам одновременно.
- Если две переменные всегда равны между собой и каждая из них приближается к пределу, то их пределы также равны между собой.
- Предел алгебраической суммы постоянной и переменной величин равен алгебраической сумме постоянной и предела указанной переменной.
- Предел произведения переменной и постоянной величин равен произведению постоянной на предел переменной.
- Предел переменной суммы конечного числа переменных равен сумме их пределов.
- Предел произведения двух или нескольких переменных равен произведению их пределов.
- Предел частного двух переменных равен частному их пределов (если предел делителя не равен нулю).
Выражение
читается:
(Предел функции х, если х приближается к пределу, равному а).
Если в функции:
4х — 3у
предел х = 5, а предел у = 2, то предел функции от х и у равен:
4 • 5 — 3 • 2 = 14.
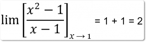
Пример решения:
Найдем
Если подставить значение предела непосредственно в выражение для функции, то получим:
(1 — 1)/(1 — 1) = 0
которое представляется неопределенным.
Разложив предварительно числитель на множители, получим:
так как x →, то
Данное выражение стремиться к 2 как к пределу, если х приближается к 1.





