Какие витамины нужны для правильного питания организма

Опыт показывает, что дело обстоит иначе. Человек, который решил бы довольствоваться подобным рационом, несомненно, сильно сократил бы свою жизнь. Не только такое примитивное химическое меню совершенно неприемлемо, но и вообще некоторые наборы пищевых продуктов вполне, казалось бы, доброкачественные серьезно расстраивают здоровье, если их не разнообразить.
В книге «Драматическая медицина» известный врач и писатель Г. Глязер рассказывает печальную историю исследователя У. Старка, который поставил себе целью выяснить, как влияет однообразное питание на здоровье человека. У. Старк жил в середине XVIII в., когда представления о составе организма и химических процессах в клетках имели смутный фантастический характер. Разделив все пищевые вещества на «вредные» и «безобидные», У. Старк установил для себя несколько рационов, которых и придерживался в течение многих месяцев. В один из таких рационов входили только хлеб и вода, в другой— хлеб, вода и оливковое масло и т. д. Опыт закончился трагически: У. Старк умер.
Вероятно, не было необходимости в столь жестоком эксперименте. Изучение истории различных экспедиций, а также ознакомление с некоторыми тяжелыми заболеваниями в местностях, где население питалось однообразно, помогло бы самоотверженному исследователю найти ответ на интересовавший его вопрос.
Матросы на кораблях, пускавшихся в дальнее плавание, часто имели в своем распоряжении сухари, воду, сушеное мясо, соль, крупы, муку, сало, сахар, иногда вино и пряности и вполне могли считать себя гарантированными от голода. Действительно, голода они и не испытывали, но через некоторое время у них пропадал аппетит, развивалась слабость, затем обнаруживались и другие симптомы цинги. И в то же время те экспедиции, которые имели в запасе, кроме обычных продуктов, еще и лимонный сок, не страдали от цинги. Свежее мясо также довольно быстро улучшало состояние больных; было обнаружено, что настой сосновых веток является превосходным лечебным средством от этой болезни. Так на горьком опыте человек убедился, что он еще далеко не все знает о свойствах пищи.
Лишь в 1880 г. врач Н. И. Лунин показал, что, кроме белков, жиров, углеводов и солей, организму требуются еще какие-то соединения, которые поступают с пищей в относительно малых количествах, но тем не менее являются ее незаменимыми составными частями. Эти вещества неустойчивы к нагреванию и окислению.
В 1911 г. К. Функ, изучавший загадочные вещества, ввел термин «витамины», а болезни, развивавшиеся при недостатке витаминов, назвал авитаминозами. Вещество, недостаток которого вызывает цингу, содержится в продуктах, излечивающих эту болезнь, т. е. в сосновых ветках и лимонах. Оно было выделено, изучено (Н. А. Бессонов, 1922) и названо аскорбиновой кислотой или витамином С.
За последние 100 лет удалось обнаружить большое число веществ, которые, подобно витамину С, надо постоянно вводить в организм человека для того, чтобы процессы жизнедеятельности шли нормально.
Наиболее крупным достижением химии витаминов было доказательство существования связи между ферментами и витаминами. Витамины, как правило, являются коферментами, т. е. активными группами ферментных систем. Иногда витамины служат сырьем для синтеза коферментов, претерпевая в клетках химические превращения.
Какие витамины являются источниками преимущественно растения и некоторые микроорганизмы; так, витамин В2 и некоторые другие витамины группы В синтезируются бактериями кишечной флоры.
Если несколько изменить строение молекулы витамина, то можно получить вещество с антагонистическими функциями его действие на организм будет прямо противоположным действию витамина. Такие вещества называют антивитаминами; они менее изучены, но, конечно, представляют значительный интерес, так как могут стать причиной авитаминозов и при, казалось бы, нормальном питании.
Витамины обозначаются латинскими буквами А, В, С, Е и др. Международной комиссией по номенклатуре в 1956 г. было рекомендовано пользоваться вместо буквенных обозначений названиями веществ .
Если пища содержит достаточное количество овощей и фруктов, витамины поступают в организм в надлежащем количестве. Надо иметь в виду, что овощи, хранившиеся долгое время, теряют значительную часть своих витаминов (особенно витамина С). Многие витамины разрушаются при варке; часто причиной того является окисление, катализируемое ионами металлов (медь, железо). Даже алюминий, который сам по себе не катализирует окисление, может стать причиной разрушения витаминов, так как он обычно содержит примеси других металлов. Пища, богатая витаминами, как доказано, повышает сопротивляемость организма к инфекционным заболеваниям, ослабляет процессы, ведущие к развитию атеросклероза, тормозит старение организма, увеличивает эффект действия лекарственных веществ.
Избыток витаминов выделяется почками. Большинство витаминов нетоксично даже в больших дозах (исключение составляют витамины А и D и отчасти фолиевая кислота), но тем не менее постоянное введение больших (больше оптимальных норм) количеств витаминов может принести вред. Известны заболевания (гипервитаминоз), вызванные слишком большим содержанием витаминов в пище. Общих норм потребления витаминов, пригодных для всех людей, не существует, так как потребность в витаминах зависит от возраста, образа жизни и рода занятий человека. Тяжелая физическая работа вызывает увеличение потребления витамина С, ребенку в период формирования костной системы необходим витамин D, работающим в условиях Севера, нужно повышенное содержание в пище витамина А и т. д.
Какие витамины содержат растения, они доставляют нам не сам витамин А, а то вещество, из которого оно образуется под действием ферментов,— провитамин А. Провитаминов А известно несколько; важнейший из них носит название каротин или более точно β-каротин. Особенностью его молекулы является наличие очень большого числа сопряженных связей, содержащих π-электроны. Формула β-каротина смотрим рисунок выше.
Расщепление этой огромной молекулы, происходящее в тонких кишках, под влиянием особого фермента и дает витамин А:
Основная роль витамина А в том, что он служит для образования веществ, необходимых для осуществления восприятия света сетчаткой глаза — зрительных пигментов. Витамин А необходим для сохранения нормального состояния клеточных оболочек, он повышает сопротивляемость к простудным инфекциям и, по-видимому, нужен для правильного течения процессов роста и развития организма. Очень большие дозы его (в 10000 раз большие, минимально необходимой) оказывают токсическое действие. Неоднократно наблюдавшиеся признаки отравления при употреблении в пищу печени белого медведя обусловлены исключительно большим содержанием витамина А в этом органе.
При недостатке витамина А развивается помутнение роговицы, ксерофтальмия, наблюдаются частые простуды и пневмонии, шелушение кожи, куриная слепота и т. п. Надо, впрочем, заметить, что авитаминозы А бывают редко, так как запасы витамина А в организме человека при обычных условиях жизни довольно велики и расходуются медленно.
Суточная потребность в этом витамине составляет для взрослого человека приблизительно 1—2,5 или 2—5 мг. β-каротина. Источниками витамина А являются рыбопродукты (особенно печень палтуса и морского окуня), яйца, печень морских животных. В растениях содержится не сам витамин А, а каротиноиды, из которых он образуется. Богаты каротиноидами красный перец, морковь, шпинат, укроп, петрушка.
Интересно, что превращать каротиноиды в витамин А могут организмы не всех животных. Например, у кошек и хищных птиц каротиноиды не переходят в витамин А.
Исследование витаминов груши: В также было связано с наблюдением над особым заболеванием бери-бери. Эта болезнь часто поражала жителей, основу пищи которых составлял «полированный» рис. Болезнь характеризовалась воспалением нервных стволов (полиневрит), прогрессирующими параличами, расстройствами сердечной деятельности и желудочно-кишечного тракта. Это тяжелое заболевание нередко приводило к смерти. В то же время среди людей, питавшихся неочищенным рисом, бери-бери встречалась очень редко.
Эйкман, изучавший все эти особенности болезни, пришел к выводу, какие витамины в оболочке зерна риса содержится жизненно необходимое вещество — витамин В1. В настоящее время известно, что витамин В1 распространен в природе и содержится главным образом в поверхностном слое семян, а также в зародышах и алейроновых зернах (запасной белок зерна). По этой причине люди, употребляющие хлеб грубого помола, защищены от заболевания полиневритом гораздо лучше, чем те, которые предпочитают высокие сорта белой муки. В хлебе, выпеченном из 94% муки, витамина B1 сохраняется до 60% от содержания его в зерне, в то время как хлеб, изготовленный из муки 75% помола, содержит лишь 10% этого витамина. Витамин B1 синтезируется и некоторыми видами бактерий; очень богаты этими витаминами пекарские и особенно пивные дрожжи, соя, рисовые отруби, гречневая крупа, а из мясных продуктов — печень и почки. Ежедневная потребность человека в витамине B1 составляет около 2—3 мг и сильно колеблется в зависимости от условий жизни. Пища, богатая жирами, уменьшает потребность в витамине В1, избыток углеводов в пище вызывает усиленное расходование этого витамина.
Витамин B1, называемый тиамином, в животных продуктах находится главным образом в виде тиаминпирофосфата. Тиаминпирофосфат связан с белком; комплекс тиаминфосфат — белок содержит также и некоторое количество ионов магния.
Тиамин является коферментом нескольких ферментов; в частности, он входит в состав кокарбоксилазы и катализирует декарбоксилирование пировиноградной кислоты — исключительную роль этого процесса в работе клетки мы уже отмечали.
Кофермент соответствующего фермента — карбоксилазы — представляет собой именно тиаминпирофосфат. Сравнение структурных формул тиамина и кокарбоксилазы показывает, что эти соединения отличаются лишь наличием пирофосфатной группы в кокарбоксилазе:
Рибофлавин получает электроны от НАД•Н2 и передает их системе цитохромов. Понятно, что витамин В2 выполняет очень ответственную работу, и его наличие определяет возможность нормального дыхания тканей. Недостаток этого витамина ведет к остановке роста, выпадению волос (или шерсти у животных), болезненным изменениям в глазу (воспаление роговицы, помутнение хрусталика), трещинам в углах рта и воспалительным процессам на слизистой оболочке губ.
Витамин В2 содержится в молоке, дрожжах, печени, почках, сердечной мышце млекопитающих, в яичном желтке, а также в растительных продуктах — моркови, шпинате, пшенице и в меньших количествах в картофеле, томатах, капусте. Ежедневная потребность человека в витамине В2 — около 2—4 мг.
Витамин, который иногда обозначали как В3, больше известен под названием пантотеновая кислота. По всем данным, она входит в общий комплекс с витамином А и играет роль в процессах окисления и обмена. Пантотеновая кислота необходима для синтеза гормонов коры надпочечников. Надо отмстить, что функции витаминов взаимосвязаны и действие пантотеновой кислоты зависит от обеспеченности организма другими витаминами, именно фолиевой кислотой и биотином. Пантотеновая кислота представляет собой пептид, образованный β-аланином и пантоевой кислотой:
НО—СН2—С(СН3)2—СН(ОН)—СО—NH—(СH2)2 — СООН.
Как большинство витаминов, В3 содержится в больших количествах в говяжьей печени и дрожжах, а также в телятине, свинине, яйцах, сельди; богаты этим витамином грибы, картофель, бобовые растения, орехи. Пантотеновая кислота сравнительно устойчива, она не изменяется под действием воздуха и освещения, по разлагается при нагревании в кислых или щелочных растворах.
Недостаток этого витамина может возникнуть при длительном употреблении антибиотиков и сульфамидов, которые угнетают кишечные бактерии, способные производить пантотеновую кислоту. Симптомами недостаточности витамина В3 являются слабость, невриты, понижение сопротивляемости к инфекциям, нарушения нервно-психического характера.
Введение метальной группы в молекулу витамина В3 превращает его в антагониста; ω-метилпантотеновая кислота является уже антивитамином.
Витамин Вс, или фолиевая кислота, построен довольно сложно: его молекула состоит из трех фрагментов. Один из них (I) есть производное птеридина, представляющего важный класс органических веществ — птеринов. Для этой группы характерно наличие в молекуле двух конденсированных циклов, содержащих четыре атома азота. Другой фрагмент (II) есть остаток n-аминобензойной кислоты и третий (III) — остаток глютаминовой кислоты.
Рибофлавин получает электроны от НАД•Н2 и передает их системе цитохромов. Понятно, что витамин В2 выполняет очень ответственную работу, и его наличие определяет возможность нормального дыхания тканей. Недостаток этого витамина ведет к остановке роста, выпадению волос (или шерсти у животных), болезненным изменениям в глазу (воспаление роговицы, помутнение хрусталика), трещинам в углах рта и воспалительным процессам на слизистой оболочке губ.
Витамин В2 содержится в молоке, дрожжах, печени, почках, сердечной мышце млекопитающих, в яичном желтке, а также в растительных продуктах — моркови, шпинате, пшенице и в меньших количествах в картофеле, томатах, капусте. Ежедневная потребность человека в витамине В2 — около 2—4 мг.
Витамин, который иногда обозначали как В3, больше известен под названием пантотеновая кислота. По всем данным, она входит в общий комплекс с витамином А и играет роль в процессах окисления и обмена. Пантотеновая кислота необходима для синтеза гормонов коры надпочечников. Надо отмстить, что функции витаминов взаимосвязаны и действие пантотеновой кислоты зависит от обеспеченности организма другими витаминами, именно фолиевой кислотой и биотином. Пантотеновая кислота представляет собой пептид, образованный β-аланином и пантоевой кислотой:
НО—СН2—С(СН3)2—СН(ОН)—СО—NH—(СH2)2 — СООН.
Как большинство витаминов, В3 содержится в больших количествах в говяжьей печени и дрожжах, а также в телятине, свинине, яйцах, сельди; богаты этим витамином грибы, картофель, бобовые растения, орехи. Пантотеновая кислота сравнительно устойчива, она не изменяется под действием воздуха и освещения, по разлагается при нагревании в кислых или щелочных растворах.
Недостаток этого витамина может возникнуть при длительном употреблении антибиотиков и сульфамидов, которые угнетают кишечные бактерии, способные производить пантотеновую кислоту. Симптомами недостаточности витамина В3 являются слабость, невриты, понижение сопротивляемости к инфекциям, нарушения нервно-психического характера.
Введение метальной группы в молекулу витамина В3 превращает его в антагониста; ω-метилпантотеновая кислота является уже антивитамином.
Витамин Вс, или фолиевая кислота, построен довольно сложно: его молекула состоит из трех фрагментов. Один из них (I) есть производное птеридина, представляющего важный класс органических веществ — птеринов. Для этой группы характерно наличие в молекуле двух конденсированных циклов, содержащих четыре атома азота. Другой фрагмент (II) есть остаток n-аминобензойной кислоты и третий (III) — остаток глютаминовой кислоты.
Витамин В6 входит в состав кофермента ряда переносчиков аминогрупп — ферментов, называемых трансаминазами, а также в состав декарбоксилаз и других ферментов. Несомненна роль витамина В6 и в обменах жиров. Недостаток этого витамина вызывает сухой себоррейный дерматит лица, шеи, груди, явления конъюнктивита, потерю аппетита, тошноту и другие симптомы. Витамина В6 много в сухих пивных дрожжах, пшенице, ячмене, мясе, сыре, рыбных продуктах.
Витамин В12 является одним из самых интересных витаминов потому, что количества этого вещества, необходимые для жизни организма, очень малы. Тем не менее, если витамин B12 не попадает в организм, наступают тяжелейшие расстройства. Витамин B12 является комплексным соединением кобальта, похожим по общему типу строения на гемоглобин; одной из его индивидуальных особенностей следует считать наличие группы циана CN, откуда и химическое название витамина — цианкобаламин:
Открытие витамина В12, как было уже упомянуто в главе о микроэлементах, связано с изучением причин возникновения анемии скота в определенных местностях, почва которых содержала недостаточное количество кобальта. Изучение свойств цианкобаламина показало, что этот витамин необходим для нормального течения процессов кроветворения. Ряд биологических процессов катализируется производными витамина В12; существует целая группа соединений, сходных с ним по общему типу строения молекулы и называемых кобамидными ферментами; они ускоряют процессы изомеризации аминокислот (например, перестройки глутаминовой кислоты в аспарагиновую кислоту), метилирование аминокислот, синтез пуриновых и пиримидиновых оснований, синтез белка, обмен углеводов. Большое число реакций, управляемых соединениями кобальта, делает эти комплексы жизненно важными. Сам по себе витамин В12 не является кофермеитом: функции коферментов выполняют кобамидные коферменты, причем образование этих производных из витамина В12 идет через несколько стадий, в которых участвуют коферменты ФАД и НАД. В конечном продукте вместо групп CN содержится дезоксиаденозил.
Витамин В12 синтезируется в организме человека бактериями кишечной флоры, кроме того, он поступает и с пищей. Витамин В12 содержится в печени крупного рогатого скота и некоторых рыб. Попав в тонкий кишечник, этот витамин соединяется с особым белковым веществом, которое выделяется железами дна желудка (так называемый фактор Касла). Таким путем витамин, по-видимому, защищается от разрушающих воздействий окружающей активной химической среды и от поглощения бактериями. Возможно, что связывание с фактором Касла облегчает и всасывание витамина стенками кишечника; всасывание вообще происходит с трудом и далеко не весь витамин всасывается.
Количества, отвечающие дневной потребности витамина B12, точно не установлены, но измеряются они величинами порядка нескольких микрограмм (около 15 мкг), т. е. являются наименьшими из всех необходимых человеку количеств витаминов.
Понижение содержания витамина В12 в организме ведет к развитию анемических состояний. Такие состояния могут возникнуть, например, после употребления слишком больших доз антибиотиков, убивающих кишечную флору, или вследствие болезненных процессов, нарушающих всасывание этого витамина. Инъекции витамина В12 ликвидируют болезненные явления. Открытие витаминных свойств сырой печени рогатого скота, богатой витамином В12, позволило справиться с одной из тяжелых форм анемий — перниционной анемией, которая в настоящее время может быть полностью излечена. Витамин B12 действует в организме совместно с другими витаминами, в частности с фолиевой кислотой.
К группе витаминов В относят также и пангамовую кислоту (B15)—вещество, распространенное в природе. В 1951 г. она была получена Г. Кребсом из ядер абрикосовых косточек (отсюда и название «пан» — значит всюду, «гами» — семя): НООС— (СНОН)4—СН2—О—СО—СН2(СН3)2.
Пангамовая кислота улучшает кислородный обмен в тканях и применяется при лечении заболеваний печени. Не биохимические функции связаны с переносом метильных групп (она является донором группы СН3) и еще не вполне изучены.
Витамин С — аскорбиновая кислота:
выполняет в организме несколько функций: она способствует образованию РНК, облегчает процессы окисления аминокислот, участвует в обмене стероидных гормонов, способствует проявлению активности фолиевой кислоты (ускоряет превращение фолиевой кислоты в другую форму — фолиновую кислоту), способствует образованию коллагена и т. д. Несмотря на явное ее участие во множестве процессов, детали механизма ее действия исследованы недостаточно. Во всяком случае, способность аскорбиновой кислоты обратимо окисляться, отдавая водород и переходя в дегидроаскорбиновую кислоту, играет существенную роль во многих регулируемых этим витамином процессах. Аскорбиновая кислота в слабощелочной среде неустойчива и быстро окисляется (сначала в дегидроаскорбиновую кислоту, а затем, уже необратимо, в дикетогулоновую, щавелевую и треоновую кислоты), окисление сильно ускоряется в присутствии даже очень малых количеств ионов меди; катализатором этого процесса, но менее активными, чем медь, являются и ионы железа.
В кислых растворах витамин С устойчив и даже выдерживает нагревание до 100° С.
Человек нуждается ежедневно в 100—150 мг витамина С. Источником его являются обычно растения, особенно черная смородина, шиповник, зеленый лук, лимоны, капуста. Неспособность синтезировать витамин С — химический недостаток организма человека, обезьяны и морской свинки. Все остальные животные синтезируют его.
Рацион человека должен включать достаточное количество овощей и фруктов, так как потребность в витамине С не покрывается обычно за счет мясных продуктов, хлеба и молока (они содержат очень мало аскорбиновой кислоты). Потребность в витамине С возрастает с увеличением содержания углеводов в пище, а также при напряженной физической работе. Практически значительную часть общей потребности в витамине С покрывают за счет картофеля, который хотя и не богат этим витамином, но зато употребляется в пищу постоянно.
Наличие в пище достаточного количества витамина С, сбалансированного с витаминами группы В, повышает сопротивляемость к инфекциям и задерживает процессы старения организма.
Двукратный прием больших доз витамина С (0,5—1,0 г в день) часто прекращает развитие простудных заболеваний и улучшает состояние больных. Однако частое употребление больших доз этого витамина приносит вред, вызывая бессонницу, головные боли, раздражительность и ряд других симптомов, свидетельствующих о нарушении ферментных систем, чрезмерно активируемых аскорбиновой кислотой.
В таких случаях организм стремится быстро вывести этот витамин из тканей, и в результате уже после прекращения приемов витамина удаление его происходит столь интенсивно, что может возникнуть авитаминоз.
Действие витамина С увеличивается в присутствии особых веществ, относящихся к обширной группе флавоноидов. Эти вещества, распространенные в растительном мире, объединяются под названием витамина Р. Витамина Р много в черноплодной рябине, черной смородине, апельсинах, лимонах, петрушке, салате, шиповнике.
Не все флавоноиды изучены, и механизм их действия остается пока неясным. Примером веществ группы витамина Р может служить рутин:
В чае содержится вещество с аналогичными свойствами — эпикатехин.
Витамин Р снижает проницаемость кровеносных сосудов и укрепляет их стенки. При недостатке этого витамина (что, впрочем, практически бывает редко) наблюдаются утомляемость, ломкость капилляров, точечные кровоизлияния, боли в суставах. В пищу целесообразно вводить смесь витамина С с рутином («аскорутин»), так как оба эти витамина действуют совместно.
Важной составной частью пищи является вещество, называемое биотином или витамином Н. Его часто относят к витаминам группы В. Открытие биотина отчасти похоже на открытие радия. Д. Кёгль, впервые в 1905 г. выделивший в чистом виде это соединение, должен был обработать 225 кг сухих яичных желтков, для того чтобы получить всего только 1 мг биотина!
Потребовалось семь лет для установления формулы строения биотина, она была окончательно выяснена п 1942 г. дю-Виньо. Оказалось, что существует два изомерных биотипа:
α-биотин из желтков и β-биотин — витамин Н, выделенный из молока и печени. По биологической активности они одинаковы. Молекула биотина содержит серу. Строение витамина Н таково:
Для катализатора существенно наличие атомов азота, являющихся активными центрами молекулы биотина. Биотин играет роль кофермента в нескольких типах биохимических реакций: основная функция биотина заключается в том, что он активирует оксид углерода (IV), превращает его в карбоксильную группу. Для этой реакции требуется участие АТФ, так что сначала биотин образует фосфат, биотин-Ф, затем фосфат реагирует с оксидом углерода (IV), получается производное [биотин — СО2] и, наконец, оксид углерода (VI) переносится на какое-либо соединение, например на ацетил-КоА. Фосфат биотина получается в результате замены водорода в группе NH на остаток Н2РО3.
Это значит, что с помощью биотина как катализатора и энергии, запасенной в АТФ, происходит связывание углекислоты и образование новой карбоксильной группы на ацетил-КоА. Понятно, что если теперь подвергнуть омылению соединение то получится свободный HS-KoA и малоновая кислота.
Таким образом, биотин играет важную роль в обмене кислот.
В природе кофермент биотип связан с соответствующим белком довольно прочно, причем связь осуществляется через карбоксильную группу биотипа (это нечто вроде молекулярного «якоря»), вступающую в соединение с аминогруппой остатка лизина белковой молекулы.
Биотин содержится в сухом горохе, сое, желтках, грибах, дрожжах, тканях почек, сердца, печени; хорошим источником биотина является также цветная капуста.
Полезно иметь в виду, что в белке сырых куриных яиц находится белок авидин, способный соединяться с биотином.
Поэтому при систематическом употреблении в пищу сырых яиц могут развиться признаки недостаточности биотипа: выпадение волос, дерматозы, анемия, мышечные боли и другие болезненные симптомы.
Человеку требуется в день всего около 300 мкг биотина, в то время как 1 г авидина способен связать 7 мг биотина.
Биотин вместе с фолиевой кислотой способствует правильному использованию организмом пантотеновой кислоты. По-видимому, биотину принадлежит важная роль в процессах синтеза пуринов. Яичные желтки содержат и еще одно важное вещество — холин. Молекула холина построена сравнительно очень просто, это гидроокись тримстилоксэтиламмония:
Холин в природе-широко распространен, он содержится в пшенице, ячмене, овсе, сое. Все эти продукты содержат не чистый холин, а его производные, например ацетилхолин.
Молекулы холина доставляют в процессах метаболизма метальные группы, которые требуются для различных биохимических синтезов, а ацетилхолин играет важнейшую роль в передаче нервных импульсов. Быстрое разложение ацетилхолина под действием фермента ацетилхолинэстеразы составляет один из основных этапов прохождения их сигнала по цепи нервных клеток. Холин в составе фосфолипидов влияет на процессы обмена липидов в печени, и при недостатке холина может развиться некроз печени, злокачественное перерождение ее тканей и отложения фосфолипидов.
Потребность человека в холине довольно велика, хотя точно и не установлена. Кишечная флора, по-видимому, синтезирует холин, и при обычном рационе человек не страдает от недостатка этого вещества.
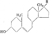
Витамины группы D содержатся в желтках, тресковой печени, сельди и других животных продуктах; в растениях этих витаминов очень мало. Наиболее активны физиологически два витамина этой группы: D2 и D3. Витамин кальциферол получается при облучении ультрафиолетовым светом провитамина — эргостерина. Витамин D3 получается из провитамина — дегидрохолестерина. Оба эти витамина растворимы в жирах и различных органических растворителях, но нерастворимы в воде.
Строение молекул витаминов группы D сходно со строением молекул других важных природных веществ — стероидов. Стероиды выполняют функции гормонов, играют основную роль в синтезе желчных кислот и т. д.
Несмотря на это сходство, витамины D обладают вполне специфическими — присущими только им — свойствами. Структура молекул витаминов D2 и D3 изображается следующими формулами:
Эти витамины контролируют обмен кальция и фосфора. При нормальном содержании витаминов D ионы кальция и фосфаты хорошо всасываются из кишечника и образуют фосфаты кальция, необходимые для построения костной ткани. Недостаток витаминов D у детей приводит к развитию рахита. При рахите кости хотя и содержат органические составные части, но остаются мягкими, так как отложения неорганических солей в костной ткани не происходит. Витамин D3 образуется в коже при облучении ее солнечным светом, поэтому для лечения рахита полезно не только введение препаратов, но и пребывание на солнечном свете.
Витамин Е содержится в кукурузных и пшеничных зародышах, в соевом, подсолнечном и хлопковом масле, зеленых бобах, салате. Этот витамин является смесью по крайней мере семи веществ — токоферолов. Для их строения характерно наличие в молекуле очень длинной цепочки атомов спирта фитола, аналогичной той, которая имеется в молекуле хлорофилла.
Витамины группы Е обладают противоокислительным действием. По-видимому, они играют роль антиоксидантов и защищают митохондрию клеток от окисления. Окисление за счет перекисей могло бы легко привести к образованию свободных радикалов, разрушительное действие которых очень велико и могло бы угрожать нормальным процессам обмена. Радикалы взаимодействуют с белками, жирами и другими соединениями, и притом так, что на место исчезнувшего радикала появляется новый. Токоферолы подавляют эти опасные для клетки реакции. Практически недостаток витамина Е в пище человека почти, никогда не наблюдается; у стариков и детей иногда бывают нарушения всасывания витамина и явления авитаминоза Е. Имеются данные, согласно которым витамин Е оказывает хорошее действие в начальных стадиях развития гипертонии и склероза. Применяют его также для лечения миастении и миозитов. Трифенилфосфат является антивитамином Е.
Витамины, обозначаемые буквой К, выделены из люцерны и гниющей рыбной муки. Было установлено, что это два не вполне одинаковых вещества, и поэтому их стали обозначать K1 и К2.
Позже выяснилось, что именно нафтохинон и является носителем специфических свойств витамина К, а боковые цепи играют вспомогательную роль — уменьшают раздражающее влияние хинона на слизистые оболочки и придают всей молекуле липоидный характер. В настоящее время синтезировано несколько десятков производных витамина типа К и, в частности, широко применяемый викасол:
Витамины К обладают антигеморрагическнм действием, они поддерживают в крови необходимый в норме уровень протромбина, повышают свертываемость крови и предотвращают или ликвидируют кровотечения. Подкожные и внутримышечные
кровотечения возникают при недостатке этих витаминов Зетеные части растений являются богатым источником витаминов К (особенно каштан); в плодах его меньше (исключение составляет рябина).
Антивитамином К является дикумарол и салициловая кислота.
Статья на тему Какие витамины










Добавить комментарий
Для отправки комментария вам необходимо авторизоваться.