Что такое биохимическая переработка жиров

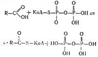
Молекулы жирных кислот имеют длинную цепь из атомов углерода, и на одном конце этой цепи находится карбоксильная группа. Ферменты, управляющие окислением жирных кислот, весьма своеобразно воздействуют на такие молекулы. Жирная кислота подвергается активированию посредством реакции с ацетилкоферментом KoA-SH и АТФ. При этом АТФ собственно не соединяется с жирной кислотой, а, теряя две молекулы фосфорной кислоты (образуется пирофосфат), превращается в АМФ.
Рис. Круговой процесс типа цикла Кребса.
Сначала АТФ реагирует с HS•KoA.
Затем дифосфат взаимодействует с жирной кислотой R—СООН:
Энергия этого процесса сосредоточивается на молекуле, получившейся в результате соединения жирной кислоты и кофермента. Если R обозначает цепь, например —СН2—СН2—СН2—, то конец молекулы кислоты, где была группа СООН, выглядит теперь так:
Затем происходят реакции, в которых эта группировка последовательно теряет два атома водорода, присоединяет воду и снова теряет два атома водорода. Реакции, конечно, катализируются ферментами: двумя различными дегидрогеназами и одной гидратазой (фермент, катализирующий присоединение воды). В результате вместо указанной группировки получается другая, содержащая две группы СО:
Вот тут-то и происходит наиболее решительная ломка молекулы жирной кислоты. При повторном воздействии ацилкофермента КоА и фермента кетотиолазы происходит отщепление кусочка молекулы (фрагмента), содержащего два атома углерода, и получаются две молекулы — остаток прежней молекулы и отколовшийся фрагмент:
С остатком молекулы начинается аналогичный процесс, в результате которого отрывается еще один двухуглеродпый фрагмент, и так до тех пор, пока вся углеродная цепь молекулы жирной кислоты не будет расколота на пары углеродных атомов, связанных с КоА. Природные жирные кислоты всегда содержат четное число атомов углерода и, таким образом, могут полностью распасться на двойные фрагменты.
Соединение
представляет собой уже известный нам ацетил-кофермент, в виде которого в цикл Кребса входят и продукты переработки глюкозы. Следовательно, пути углеводов и жиров сошлись на этом соединении: от жиров и углеводов остался лишь ацетил СН3СО, связанный с активатором и переносчиком HS-KoA.
Это обстоятельство важно, потому что оно открывает прямой путь от углеводов к жирам. Жиры могут не только расщепляться, но и создаваться в организме. Сырьем для их синтеза и является СН3СО—S-KoA. Достаточно соединить два таких остатка, как получается уже более сложная частица, ацетоацетил-КоА, из которого путем гидролиза образуется ацетоуксусная кислота CH3COCН2COOН.
Восстановление группы СО переводит ацетоуксусную кислоту в масляную СН3—СН2—СН2—СООН. Масляная кислота, реагируя с коферментом А по тому же принципу, образует жирную кислоту с еще более длинной цепью атомов углерода и т. д. В синтезе участвует низкомолекулярный — «ацил — переносящий» белок. Жирные кислоты с глицерином дают жиры, и так завершается путь от глюкозы к жирам.
Общеизвестная истина, что избыток углеводов в пище — одна из причин ожирения, получает простое химическое объяснение.
Вернемся к началу дыхательной цепи. Водородные атомы попадают в цепь НАД —ФП — цитохромы от кислот молочной, пировиноградной, изолимонной, кетоглутаровой, янтарной и яблочной. Это поставщики водорода.
Доказано, что все кислоты, кроме молочной, получаются из пировиноградной кислоты, а молочная сама переходит в пировиноградную.
Превращение пировиноградной кислоты в те кислоты, которые доставляют водород, происходит в химическом механизме клетки —цикле Кребса. Этот цикл —пример распространенных в природе круговоротов с участием веществ, которые собственно нельзя назвать катализаторами, но которые имеют с ними сходство в том отношении, что после ряда превращений снова образуются, сохраняя тот же состав. Хорошо известно, что любой катализатор совершает, круговорот, который в простейшем случае можно представить схемой:
Катализаторы K1K2K3 совершают свои собственные циклы, а вещество X замыкает общий цикл реакции а + В → С, М1 и М2 — промежуточные вещества.
Эта схема означает, что катализатор К ускоряет реакцию А→В, вступая с веществом А во взаимодействие и образуя промежуточный продукт М; продукт М затем распадается, регенерируя катализатор, причем возникает вещество В.
Несколько аналогичных циклов может быть связано друг с другом посредством вещества X, являющегося участником в общем процессе (рис.).
Именно такого рода сложный цикл и представляет собой круговорот органических кислот, совершающийся под влиянием ряда специальных ферментов и питающий электронами дыхательную цепь.
Работа цикла в целом заключается в том, что пировиноградная кислота (т. е. продукт переработки глюкозы) окисляется до воды и атомы водорода в определенных точках цикла переходят к НАД, а затем создают поток электронов в дыхательной цепи: ионы Н+ поступают в клеточную среду и улавливаются в конце дыхательной цепи ионами кислорода.
Статья на тему Биохимическая переработка жиров





Добавить комментарий
Для отправки комментария вам необходимо авторизоваться.