Макс Планк
Рис. М. Планк
Через год он защитил диссертацию «Равновесное состояние изотропных тел при различных температурах» на получение звания доцента.
Работая доцентом Мюнхенского университета, Планк начал составлять курс лекций по теоретической физике. Но до 1897 г. он не мог приступить к публикации своих лекций. В 1887 г. он написал конкурсное сочинение на премию философского факультета Геттингенского университета. За это сочинение Планк получил премию, а сама работа, содержащая историко-методологический анализ закона сохранения энергии, переиздавалась пять раз, с 1887 по 1924 г. За это же время Планк опубликовал ряд работ по термодинамике физико-химических процессов. Особую известность получила созданная им теория химического равновесия разведенных растворов. В 1897 г. вышло первое издание его лекций по термодинамике. Эта классическая книга переиздавалась несколько раз (последнее издание вышло в 1922 г.) и переводилась на иностранные языки, в том числе и на русский. К тому времени Планк был уже ординарным профессором Берлинского университета и членом Прусской Академии наук. С 1897 г. Планк вплотную занялся проблемой теплового излучения.
Результатом исследований было открытие искомой функции распределения энергии по частотам, интерпретация которой потребовала от Планка введения гипотезы квантов энергии. В 1906 г. вышла классическая монография Планка «Лекции по теории теплового излучения». Она переиздавалась несколько раз. Русский перевод книги под названием «Теория теплового излучения» вышел в 1935 г. За открытие кванта действия в 1918 г. Максу Планку была присуждена Нобелевская премия по физике.
Дальнейший жизненный путь Планка связан с тяжелыми переживаниями. Во время первой мировой войны погиб под Верденом его сын, умерли две дочери. В 1945 г. за участие в антигитлеровском заговоре был казнен его старший сын. Во время войны его дом был разбомблен, собранная им в течение всей жизни библиотека погибла. Сам он во время поездки в Кассель был засыпан в бомбоубежище, где провел несколько часов, пока его не откопали. Умер Планк 7 октября 1947 г., прожив почти 90 лет. Он видел возвышение и поражение Германии, пережил франко-прусскую войну, первую и вторую мировые войны. На его глазах происходили расцвет и крушение классической физики. При его жизни создавалась максвел-ловская электродинамика, термодинамика, классическая статистика, электронная теория, теория относительности. Ему было сорок лет, когда супруги Кюри открыли радий, в сорок два года он сам открыл квант действия. Он был свидетелем развития квантовой механики, ядерной физики, а конец его жизни был озарен пожаром Хиросимы.
Об истории открытия закона излучения и возникновения гипотезы квантов Планк рассказывал неоднократно. Об этом он говорил в своей нобелевской речи «Возникновение и постепенное развитие теории квантов», произнесенной в Стокгольме 2 июня 1920 г. Об этом рассказывается и в изданной посмертно в 1948 г. «Научной автобиографии» Планка.
Как уже было сказано, Планк приступил к проблеме излучения в 1897 г. До этого наибольших успехов в решении этой задачи добился В. Вин. В 1893 г. он нашел формулу для объемной плотности невидимого излучения в виде функции
ρ(v, Т) = V3f(v/T)
где f — функция, остающаяся неопределенной. Из этой формулы вытекал закон смещения λmТ=const.
В 1896 г. Вин пошел дальше и написал функцию в явном виде. Его закон имел вид
Казалось бы, задача была решена. Но, во-первых, вывод Вина с теоретической точки зрения не был безупречным, и Рэлей писал в 1900 г., что «с теоретической стороны этот результат представляется мне немногим более, чем догадкой»; во-вторых,— и это главное — формула Вина хорошо оправдывалась в области высоких частот (коротких волн), но в измерениях с инфракрасными волнами, выполненными Рубенсом и Курльбаумом, «обнаружилось совершенно отличное от закона Вина поведение».
Во всяком случае Планк пошел своим путем. Он рассматривал модель черного тела, представлявшую собой совокупность электромагнитных осцилляторов, излучающих и поглощающих электромагнитную энергию каждый определенной частоты. Введя гипотезу «естественного излучения», Планк привел эту систему в соответствие с необратимостью термодинамических процессов, несмотря на то, что излучение описывается обратимыми уравнениями электродинамики. 15 мая 1899 г. Планку удалось найти соотношение между объемной плотностью излучения и средней энергией осциллятора:
где U (Т)—средняя энергия осциллятора.
Планк установил соотношение между энергией и энтропией осциллятора, в основе которого, по-видимому, лежит закон Вина. Но как раз в это время измерения Рубенса и Курльбаума показали неприменимость закона Вина для длинных волн, и это поставило Планка перед трудной проблемой. Планк построил из связи энтропии и энергии некоторую величину R, которая в области применимости закона Вина оказывается пропорциональной энергии. Однако в областях длинных волн следовало принять R пропорциональной квадрату энергии.
«Таким образом,— вспоминал Планк,— первыми опытами для функции R было установлено два простых предельных вида: при малых энергиях R пропорциональна энергии, а при больших энергиях — квадрату энергии… Дело теперь состояло в том, чтобы найти точное выражение для R, которое давало бы закон распределения энергии, совпадающий с экспериментально установленным. Теперь ничего другого не оставалось, как приравнять в общем случае величину R сумме двух членов — одного линейного, а другого квадратного по энергии, так что при малых энергиях решающее значение имел первый член, а при больших— второй. При этом была найдена новая формула для излучения, которую я представил на заседании Берлинского физического общества 19 октября 1900 г. и рекомендовал проверить».
Формула, найденная Планком, имела вид:
Рубенс немедленно после заседания начал сравнивать формулу Планка с данными его измерений. Утром он пришел к Планку и сообщил, что повсюду было найдено удовлетворительное совпадение его формулы с опытом.
Но, как признавался Планк, метод нахождения формулы придавал ей «только формальный смысл удачно угаданного закона». И здесь Планк впервые обратился к статистике, к той самой статистике, с которой Михельсон начал поиски закона излучения, используя идеи Больцмана о связи энтропии и вероятности. Этой зависимости Планк придал следующий вид:
где Ʀ — постоянная Больцмана, хотя ввел и впервые вычислил эту величину Планк. Для того чтобы ввести вероятность в закон излучения, Планку пришлось принять гипотезу, что каждый осциллятор излучает и поглощает энергию конечными порциями. Величину такой порции Планк положил пропорциональной частоте ε = hvt где h — некоторая универсальная постоянная, которую Планк назвал «элементарным квантом действия». «Таким образом,— писал Планк,— и для излучения было установлено существование энтропии как меры вероятности в больцмановском смысле».
Однако при подсчете вероятности Планку пришлось отойти от метода Больцмана, и только значительно позже выяснился смысл этого отхода: статистика квантов не является больцмановской. 14 декабря 1900 г. Планк доложил Берлинскому физическому обществу о своей гипотезе и новой формуле излучения:
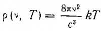
Из этой формулы, справедливой во всех областях спектра, получались и закон Стефана— Больцмана и закон смещения Вина. Для больших частот она переходила в формулу Вина, а для малых частот — в формулу
данную Рэлеем в июле 1900 г. в небольшой статье «Замечания о законе черного излучения». Рэлей вывел эту формулу, применяя закон равномерного распределения энергии по степеням свободы. В 1905 г. он и независимо от него Джине показали, что классическая статистика приводит не к формуле Планка, а именно к формуле Рэлея, которая стала называться с тех пор законом Рэлея — Джинса.
История закона излучения продолжалась еще и в XX в. Сам Планк как-то пытался ввести свою гипотезу в русло классических представлений. Однако это ему не удалось. Гипотеза, квантов захватывала все новые и новые области, став «царицей» современной физики.
Открытие рентгеновских лучей, радиоактивности, электрона, радия, кванта действия определило характер развития физики XXв. Начиналась научная революция.
Статья на тему Макс Планк








Добавить комментарий
Для отправки комментария вам необходимо авторизоваться.